Finding boundaries
The output of a wombling operation can be used to pick boundaries, i.e. areas where the values within the landscape transition sharply indicating different 'patches'. We will illustrate this with a simple example of a three-patch landscape.
using SpatialBoundaries
using CairoMakieLet's create a landscape with two values:
A = rand(Float64, 200, 150);
A[1:80, 1:85] .+= 5.0;
A[110:end, 130:end] .+= 3.0;We can check out what this landscape looks likes:
heatmap(A)
We can apply wombling to this landscape, assuming that all cells have the same size:
W = wombling(A);Let's look at the rate of change:
heatmap(W.m; colormap = :Greys)
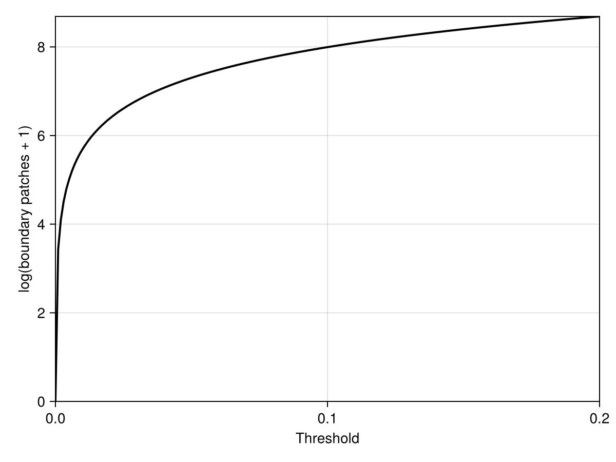
Picking the boundaries is done by passing the wombling output to the boundaries function, with a specific threshold giving the proportion of points that should be retained as part of the boundaries. Checking what the effect of this threshold is would be a good idea:
thresholds = LinRange(0.0, 0.2, 200)
patches = [length(boundaries(W, t)) for t in thresholds]
f, ax, plt = lines(thresholds, log1p.(patches), color=:black, linewidth=2)
tightlimits!(ax)
ax.xlabel = "Threshold"
ax.ylabel = "log(boundary patches + 1)"
f
Let's eyeball this as 0.01, and see how the patches are distributed.
Another way we can look at the boundaries is to see when a patch is considered to be a boundary. To do so we will create an empty matrix, and fill each position with the lowest threshold at which it is considered to be a boundary:
b = similar(W.m)
for t in reverse(LinRange(0.0, 1.0, 300))
b[boundaries(W, t)] .= t
end
heatmap(b, colormap=:tofino, colorrange=(0,1))
This also suggests that we will get well delineated patches for low values of the threshold.
B = boundaries(W, 0.01);In the following figure, cells identified as candidate boundaries are marked in white:
f, ax, hm = heatmap(A)
scatter!(ax, [b.I for b in B], color=:white)
f
We can see that the boundaries of the patches have been well identified!